Moteur de recherche
1. Contexte
1.1. Définition
Une recherche sur le web se fait à l'aide d'un moteur de recherche.
Un moteur de recherche est une application web permettant à un utilisateur d'effectuer une recherche en ligne (ou recherche internet), c'est-à-dire de trouver des ressources à partir d'une requête composée de termes.
Il ne faut pas confondre le navigateur et le moteur de recherche.
Un navigateur permet d'afficher du contenu web après avoir effectué une requête auprès d'un serveur, le navigateur utilise le moteur de recherche pour effectuer des recherches.
1.2. Historique
Ci-dessous, une chronologie des moteurs de recherche de 1990 à 2014.
Source : www.mauricelargeron.com
1.3. Problématique
Comment un moteur de recherche génère les résultats de recherche ?
2. Principe de fonctionnement
2.1. À Faire
✏ Répondre aux questions suivantes en vous aidant de la vidéo :
https://www.youtube.com/watch?v=pMywV9ZLS4M
- Sur quel programme repose un moteur de recherche ?
- Qu'effectue ce programme ?
- Comment un moteur de recherche répond à une recherche effectuée par un utilisateur ?
- Comment sont classés les résultats de la recherche ?
2.2. Bilan
Sur le principe, ils fonctionnent généralement en 3 processus :
- L'exploration ou crawl : le web est systématiquement exploré par un robot d'indexation suivant récursivement tous les hyperliens qu'il trouve et récupérant les ressources jugées intéressantes.
- L'indexation des ressources récupérées consiste à extraire les mots considérés comme significatifs du corps des pages à explorer. Les urls des pages et les mots clés associés sont enregistrés dans une base de données organisée comme un gigantesque dictionnaire.
- La recherche correspond à la partie requêtes du moteur, qui restitue les résultats. Un algorithme est appliqué pour identifier dans le corpus documentaire (en utilisant l'index), les pages qui correspondent le mieux aux mots contenus dans la requête, afin de présenter les résultats des recherches par ordre de pertinence supposée.
3. Rang d'une page web
3.1. Principe
Le rang d'une page est sa place, son ordre dans la liste des résultats d'une recherche.
En 1998, deux jeunes doctorants de l'université de Stanford, Larry Page et Sergey Brin publiaient un article intitulé "The PageRank Citation Ranking: Bringing Order to the Web" présentant les résultats d'un nouvel algorithme permettant de classer les pages web selon leur popularité et montrant la précision de cet algorithme sur un nouveau moteur de recherche appelé ... Google !
Le principe revient à modéliser le web comme un graphe dont les pages sont les nœuds (ronds) et les hyperliens les arrêtes (flêches).
À chaque page est associé un nombre positif entre 0 et 1, appelé score de la page (PageRank en anglais).
La méthode, appelée marche aléatoire, peut être appliquée :
1. Choisir une page de départ,
2. Marquer la page comme visitée une fois,
3. Déterminer au hasard (lancé de dé, ...) une page à suivre,
4. Se déplacer à la nouvelle page,.
5. Recommencer la procédure à l’étape 2.
Notre utilisateur va se balader de pages en pages, en faisant son petit tour du net. A chaque fois que l'utilisateur tombe sur une page donnée, cette page gagne un point.
Et à la fin, la page ayant le plus de point est alors la page la plus populaire du réseau !
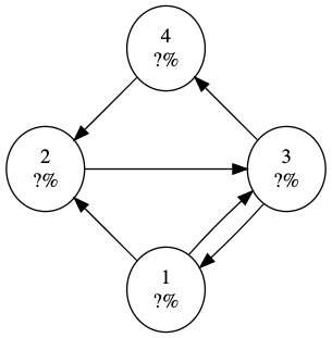
3.2. À Faire
Le robot d’un moteur de recherche (spider, crawler) a permis d’établir les relations suivantes entre quatre pages web. Elles sont modélisées dans le graphe ci-dessous.
Dans ce graphe, la flèche allant de 1 vers 2 signifie que la page 1 référence la page 2 et l’absence de flèche de 2 vers 4 signifie que la page 2 ne référence pas la page 4.
- ✏ Appliquer la méthode du marcheur aléatoire en complétant le tableau ci-dessous. On travaillera en binôme et on effectuera 20 visites.
| Page 1 | Page 2 | Page 3 | Page 4 | |
|---|---|---|---|---|
| Nombre de visites (sur un total de 20) | ||||
| PageRank |
- ✏ Comparer vos résultats avec ceux des autres binômes de la classe. Que peut-on en conclure ?
- ✏ Rassembler les résultats de toute la classe et compléter le nouveau tableau ci-dessous :
| Page 1 | Page 2 | Page 3 | Page 4 | |
|---|---|---|---|---|
| Nombre de visites (sur un total de 20) | ||||
| PageRank |
- ✏ Reporter le PageRank en % sur le graphe
4. Analyse des résultats de recherche
4.1. À Faire
- ✏ Effectuer des recherches (c-a-d en saisissant les mêmes termes) en utilisant des moteurs de recherche tel que :
- ✏ Établir si possible les différences observées...
4.2. Explication
Les différences observées peuvent s'expliquer sur le modèle économique des moteurs de recherches.
Les sites dont la recherche est le principal service se financent par la vente de publicité.
Selon Wikipédia, le financement par la publicité consiste à présenter des publicités correspondant aux mots recherchés par le visiteur.
L'annonceur achète des mots-clés : par exemple une agence de voyage peut acheter des mots-clés comme « vacances », « hôtel » et « plage » ou « Cannes », « Antibes » et « Nice » si elle est spécialisée dans cette région.
Cet achat permet d'obtenir un référencement dit « référencement payant » à distinguer du référencement dit « référencement naturel ».
Le moteur de recherche peut afficher la publicité de deux manières : en encart séparé ou en l'intégrant aux résultats de la recherche.
4.3 À Faire
Répondre aux questions suivantes après lecture de l'article
- ✏ Selon l'article, quels sont les impacts / risques du modèle de financement par la publicité sur les résultats de recherche ?
- ✏ À quel principe, déjà vu, le modèle par financement peut-il s'opposer ? La neutralité du net.
5. Synthèse
Recopier et compléter le texte à trou suivant :
Un moteur de recherche est un logiciel qui ...........(2) en fonction de ...........(2).
Pour cela :
- il utilise des ...........(3) qui ...........(4) les pages du web et génère un ...........(5).
- Le moteur renvoie les résultats sous forme de ...........(6) où chaque page a un ...........(7).
Les sociétés qui développent des moteurs de recherche se financent par ...........(8).


